Trapper Creek Community Council
Agenda
6:30PM Thursday, February 19, 2026
Trapper Creek Community Center Mile Post 115.2 George Parks Highway.
Turn onto E Trapper Creek Park Circle
PO Box 13021 Trapper Creek AK 99683
Telephone Conference (907)-373-2663 Enter Code: 991090#
Call to Order
Pledge of Allegiance
Determination of Quorum
Board Members in Attendance
Others in Attendance
Approval of February Agenda
Minutes of the Regular January 22, 2026 Meeting
Borough Assembly Report (if current Representative has reached out)
Treasurer Report
Community Reports
TCCSA Water Committee
Trapper Creek Volunteer Fire Department
CERT Team
Youth Council Liaison
Correspondence/Current Mail
Public Forum
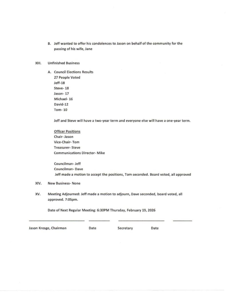
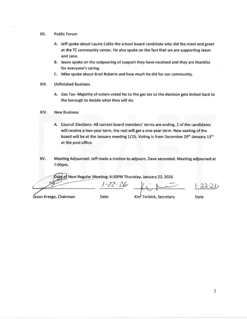
Unfinished Business
New Business
Rachel Christensen From Mat-Su Health Foundation http://www.healthymatsu.org/
Meeting Adjourned:
Date of Next Regular Meeting: 6:30PM Thursday, March 19, 2026
_________________ _____________ __
Jason Kresge, Chairman Date Secretary Date





